Huisvesting per paar ‑ alleen een modetrend?
26. Februar 2021 — Biologisch, Kalverhouderij — #Bio #CalfTel #Minigroep #Paar #Sociaal #TwinHutchHet eerste “juiste” kalverhok voor minigroepen
Een recenter onderzoek uit hetzelfde onderzoeksteam kon bewijzen, dat de hogere opname van krachtvoer ook resulteert in meer groei. In deze proef werden drie groepen gemaakt:
Early Pair: Groepen van 2 na 1 week
Late Pair: Groepen van 2 na 6 weken
ndividual: Individuele huisvesting tot aan het spenen
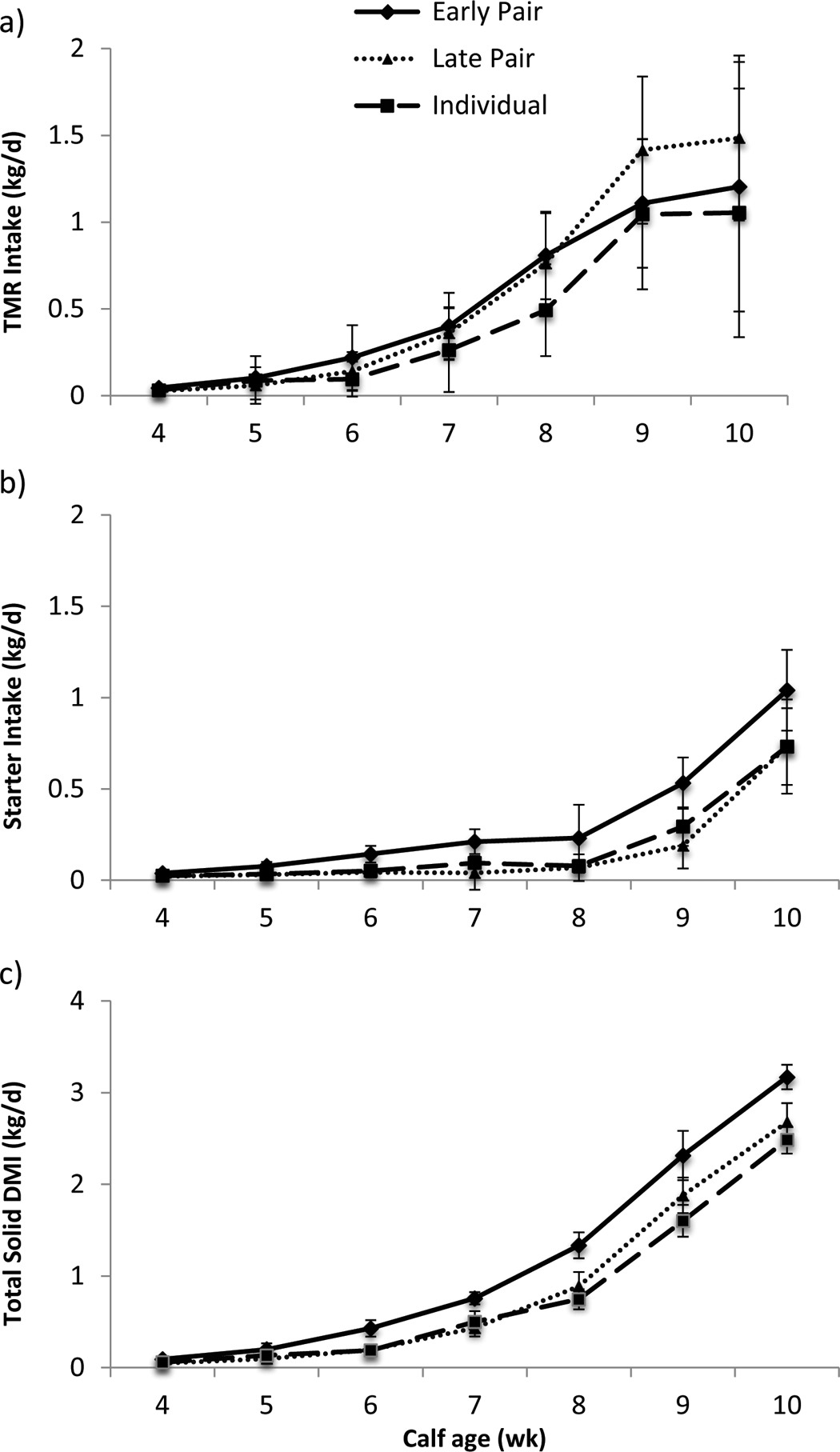
Na 6 weken was de opname van krachtvoer bij het “Early Pair” met 180 g/dag duidelijk hoger dan in de andere beide groepen (70 g/dag “Late Pair”; 50 g/dag “Individual”).
Dit voordeel zette door. De opname van krachtvoer was ook na het spenen van de melk met 8 weken bij de “Early Pairs” duidelijk hoger dan in de beide andere groepen. (grafiek b).
Ook wanneer de opname van TMR tussen de groepen niet aanzienlijk verschilt (grafiek a), was de totale opname van droge massa van de kalveren in de “Early Pair”-groep duidelijk hoger (grafiek c).
De hogere energieopname leidde in de proef ook tot een sterke stijgende groei (ADG = average daily gain = gemiddelde dagelijkse gewichtstoename). In de melkfase was het groeivoordeel in de “Early Pair”-groep eerst niet heel erg verschillend. Maar door een sterke groeispurt na de speenfase kon deze groep in de tijd van de geboorte tot aan de 10e levensweek 890 g/dag groeien, terwijl de beide groepen “Individual” 760 g/dag en de “Late Pairs” 730 g/dag groeiden gedurende de hele proefperiode.
Het onderzoeksteam Costra et.al. (2015) komt tot de slotconclusie, dat de per paar gehuisveste kalveren door een beter sociaal gedrag en cognitief lever vroeger beginnen met het opnemen van droogvoer. De hogere opname van voer heeft op zijn beurt een sterkere groei van de kalveren tot gevolg.
Uit andere onderzoeken weten we, dat deze vroege groei de ontwikkeling van de nakomelingen positief beïnvloedt en bij vaarzen een eerdere EKA en bij de eerste lactatie een verhoogde melkproductie tot gevolg kan hebben.
Afbeelding 1 Middelste kleinste vierkanten (±SE) de opname van de droge substantie van de (a) Totaal gemengd rantsoen (TMR, kg droge massa), (b) van startvoer voor kalveren (kg droge massa) en (c) krachtvoer (kg droge massa) voor vroeg gevormde groepen van twee (”Early Pair”, gevormd na 6 ± 3 levensdagen; n = 8 paren), laat gevormde groepen van twee (”Late Pair”, gevormd na 43 ± 3 levensdagen; n = 8 paren) en voor kalveren in individuele huisvesting (n = 8 kalveren). De wekelijkse gemiddelde worden afhankelijk van de leeftijd van de kalveren aangegeven, waarbij de leeftijd tussen de 4 en 10 weken ligt.
Middelste kleinste vierkanten (±SE) van de gemiddelde dagelijkse gewichtstoename (ADG, kg/d) vroeg gevoerde groepen van twee (”Early Pair”), gevormd na 6 ± 3 levensdagen; n = 8 paren), laat gevormde groepen van twee (”Late Pair”, gevormd na 43 ± 3 levensdagen; n = 8 paren) en voor kalveren in individuele huisvesting (n = 8 kalveren) tijdens (a) de volledige proefperiode (3 tot 10 weken) en gescheiden gedurende (b) de periode tot het spenen (3 tot 6 weken) en (c) na het spenen (6 tot 10 weken).